Raspberry Pi で簡易地震計を作ろう!

特徴

  • 部品は秋月やマルツ等で買えるものだけ。
  • ハンダ付け不要、配線するだけ。
  • 震度 1 から測定可能。
  • スクリプトはオープンソースで公開。

材料と制作方法

注意点

  • 自己責任でお願いします。
  • 電気工学の知識が乏しいため、動作してはいますが不適当かもしれません。
  • 各部品の特徴や、電子部品の説明書は必ず確認してください。
  • とくに電解コンデンサは向きに注意してください(破裂等の恐れがあります)。

制作方法

材料

名前 個数 リンク 用途
Raspberry Pi 3 Model B 1 個 旧モデル可。AC アダプタ、microSD 別途
ブレッドボード 1 枚 BB-801(例)
加速度センサ KXR94-2050 1 個 KXR94-2050
A/D コンバータ MCP3204-BI/P 1 個 MCP3204-BI/P
ジャンパーワイヤ オス-メス 6 本 秋月 C-08933(例) RasPi とボード間の配線に使用
ジャンパーワイヤ 適量 秋月 P-00288(例) ボード上の配線に使用
定電圧レギュレータ 3.3V 1 個 LP2950L-3.3V(例) 電圧安定化
ショットキーダイオード 1 個 1S4(例) レギュレータ逆電圧保護
コンデンサ(0.1μF) 4 個 秋月 P-04064(例)
コンデンサ(1μF) 1 個 秋月 P-08150(例) 電解コンデンサ可
コンデンサ(3.3μF 以上) 1 個 秋月 P-10590(例) セラミックコンデンサ可

配線例

(写真注:ショットキーダイオード未配線、電解コンデンサの位置にセラミックコンデンサを置いています)

  1. 定電圧レギュレータ前後のコンデンサ
    • 発振防止と電圧安定化のために使用します。
    • データシートでは 3.3μF の時にノイズレベル最小のようです。10μF や 470μF などでも精度は確保できます。
  2. A/D コンバータ直前のコンデンサ
    • ノイズ除去のために使用します。データシートで 1μF が推奨されています。
  3. センサ出力のコンデンサ
    • ローパスフィルタに使用します。

震度の算出

震度の算出方法

  1. 3 軸の合成加速度(ガル)を算出
    1. 3 軸サンプリング
    2. フィルタ(後述)適用
    3. 加速度[gal]に変換
    4. 3 軸の合成加速度[gal]を算出
  2. 震度を算出
    1. 5 秒間のうち 0.3 秒間継続した合成加速度[gal]を算出 (※5 秒分の合成加速度を降順ソートしたときの 0.3 秒目の値)
    2. 2 * log10(gal) + 0.94 で震度を算出(gal は 0.3 秒間継続した合成加速度[gal])

フィルタ特性

  • 計算方法
    • 指数平滑値 = 前回の指数平滑値 * 0.94 + 今回のサンプル値 * 0.06
    • フィルタ後のサンプル値 = 指数平滑値 – 直近 200 サンプル(1 秒)の平均値
フィルタ特性 (JMA filter は気象庁の震度計算のためのフィルタ特性)
フィルタ特性による震度誤差

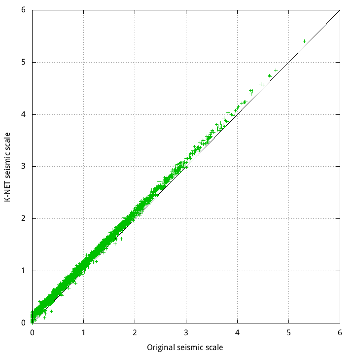
計測実績

  • 設置場所: 東京 23 区内
  • 波形グラフは上から [震度] [加速度] [南北] [上下] [東西] です。
日時 規模 実際の震度 簡易震度計の震度 波形(クリックで拡大)
2019/01/14 13:23 M4.9 震度 2 (K-NET 新宿 1.9) 震度 1 (1.28)
2018/12/08 10:54 M5.1 震度 0 (K-NET 観測なし) 震度 1 (0.53)
2018/11/27 8:33 M5.0 震度 2 (K-NET 新宿 2.4) 震度 2 (1.52)
2018/10/27 9:08 M5.1 震度 1 (K-NET 観測なし) 震度 1 (0.51)
2018/10/12 13:15 M5.2 震度 1 (K-NET 観測なし) 震度 1 (0.92)
2018/09/18 17:11 M4.3 震度 2 (K-NET 新宿 2.1) 震度 2 (2.06)
2018/09/14 14:35 M4.9 震度 1 (K-NET 観測なし) 震度 1 (0.60)
2018/09/10 23:58 M4.8 震度 0 (K-NET 観測なし) 震度 1 (0.61)
2018/09/05 5:11 M5.5 震度 1 (K-NET 新宿 1.2) 震度 1 (0.97)
2018/08/29 14:30 M4.1 震度 1 (K-NET 観測なし) 観測なし  
2018/08/21 2:47 M4.0 震度 1 (K-NET 観測なし) 震度 1 (0.66)
2018/08/14 12:35 M4.7 震度 1 (K-NET 新宿 0.7) 震度 1 (0.64)
2018/08/07 5:10 M4.2 震度 1 (K-NET 観測なし) 震度 1 (0.77)
2018/07/29 9:58 M4.5 震度 1 (K-NET 新宿 0.9) 観測なし  
2018/07/17 4:34 M4.8 震度 1 (K-NET 新宿 1.0) 震度 1 (0.85)
2018/07/16 16:43 M3.5 震度 1 (K-NET 観測なし) 観測なし  
2018/07/07 20:23 M6.0 震度 2 (K-NET 新宿 2.5) 震度 2 (2.25)
2018/06/19 13:29 M3.9 震度 1 (K-NET 観測なし) 震度 1 (0.70)
2018/06/17 15:27 M4.7 震度 1 (K-NET 新宿 0.9) 震度 1 (0.64)
2018/06/14 7:14 M3.8 震度 1 (K-NET 観測なし) 震度 1 (1.14)
2018/06/03 2:20 M3.8 震度 1 (K-NET 観測なし) 震度 1 (0.90)
2018/05/17 12:12 M5.3 震度 2 (K-NET 新宿 1.7) 震度 2 (1.70)
2018/05/15 14:00 M4.6 震度 1 (K-NET 新宿 0.5 未満) 震度 1 (0.62)
2018/05/04 2:17 M4.1 震度 1 (K-NET 新宿 1.0) 震度 1 (1.35)
2018/05/04 2:07 M4.2 震度 1 (K-NET 新宿 1.4) 震度 1 (1.44)
2018/03/30 8:17 M5.1 震度 2 (K-NET 新宿 1.7) 震度 1 (1.20)
2018/03/13 15:46 M4.8 震度 1 (K-NET 観測なし) 震度 1 (0.52)
2018/02/27 8:08 M4.3 震度 1 (K-NET 新宿 1.0) 震度 1 (0.95)
2018/02/26 1:28 M5.7 震度 2 (K-NET 新宿 1.6) 震度 2 (1.53)
2018/02/08 23:34 M4.3 震度 1 (K-NET 新宿 0.8) 震度 1 (0.70)
2018/01/06 0:54 M4.8 震度 3 (K-NET 新宿 3.3) 震度 3 (3.15)
2018/01/02 19:48 M4.2 震度 2 (K-NET 新宿 1.7) 震度 2 (1.62)

データについて

規模と実際の震度は、気象庁防災科学技術研究所 強震観測網(K-NET,KiK-net)のデータを使用しています。